Example Problems

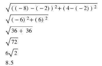
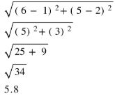
The following two examples are provided to compare how you find the distance of a line on a graph versus using the distance formula,D = √[(x₂-x₁)²+(y₂-y₁)²]. I will round to the nearest tenth when needed. Once you have finished the example problems, there are two additional problems for you to practice. The correct answers to the practice problems will be given after you have completed the assessment. Reminder: there is an example video on the Given a Graph page.

Example 1

example 1 example 1 work


Example 2

example 2 example 2 work






Practice Problems

1)

practice 1

2)

practice 2