Example Problems

The following two examples are provided to help you understand the distance formula, D = √[(x₂-x₁)²+(y₂-y₁)²]. I will round to the nearest tenth when needed. Once you have finished the example problems, there are two additional problems for you to practice. The correct answers to the practice problems will be given after you have completed the assessment. Reminder: there is an example video on the Given Points page.

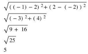
1)(-1, 2) and (2, -2)

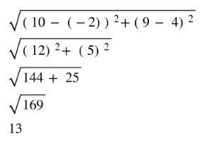
2)(10, 9) and (-2, 4)





example 1 work
example 2 work














Practice Problems

1)(8, -2) and (10, 1)

2)(-6, -2) and (-7, -4)